Παρόμοιες τιμές στις εταιρείες ρεύματος - Ποια είναι η φθηνότερη

Παρόμοιες τιμές στις εταιρείες ρεύματος - Ποια είναι η φθηνότερη
Περίπου τις ίδιες τιμές στο ρεύμα θα πληρώσουν εκατομμύρια πολίτες για τον μήνα Νοέμβριο, ανάλογα βέβαια με τον πάροχο που έχει επιλέξει κανείς να έχει. Στα 23,8 λεπτά του ευρώ ανά KWh (238 ευρώ ανά MWh) διαμορφώνεται η επιδότηση των οικιακών καταναλωτών για τον μήνα Νοέμβριο και για την 1η κλίμακα κατανάλωσης, όπως ανακοίνωσε ο υπουργός Περιβάλλοντος και Ενέργειας, Κώστας Σκρέκας.

Χαμηλές επιδοτήσεις για τους λογαριασμούς ρεύματος και φυσικού αερίου τον Νοέμβριο φέρνει η υποχώρηση της τιμής του φυσικού αερίου στο TTF και η συνακόλουθη αποκλιμάκωση της τιμής ρεύματος στη χονδρεμπορική αγορά.

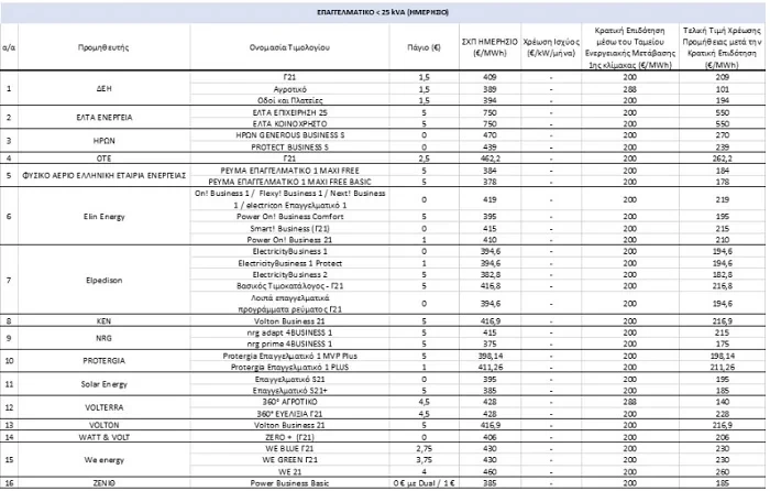
Πίνακας 1: Κατηγορία: Οικιακός Πελάτης – Ημερήσιο Τιμολόγιο

dei.webp


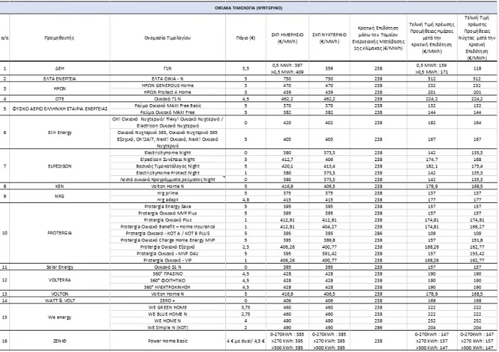
Πίνακας 2: Κατηγορία: Οικιακός Πελάτης – Νυχτερινό Τιμολόγιο

dei-2.webp


Οι κλίμακες επιδότησης για τις κατηγορίες Οικιακός Πελάτης – Ημερήσιο Τιμολόγιο και Οικιακός Πελάτης Νυχτερινό Τιμολόγιο είναι:

1η κλίμακα: μέχρι 0,5 ΜWh/μήνα η επιδότηση είναι 238€/MWh.

2η κλίμακα: από 0,5 έως 1 MWh/μήνα η επιδότηση είναι 188€/MWh. Με επίτευξη στόχου ενεργειακής εξοικονόμησης είναι 238€/MWh.

3η κλίμακα: πάνω από 1MWh/μήνα η επιδότηση είναι 98€/MWh. Με επίτευξη στόχου ενεργειακής εξοικονόμησης είναι 148€/MWh.

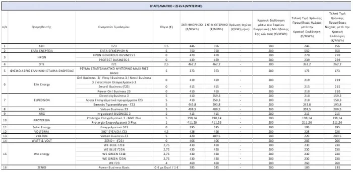
Πίνακας 3: Κατηγορία: Εμπορικός Πελάτης – Ημερήσιο Τιμολόγιο

dei-3.webp

Πίνακας 4: Κατηγορία: Εμπορικός Πελάτης -Νυχτερινό Τιμολόγιο

dei-4.webp

Πηγή:www.dikaologitika.gr

Ακολουθήστε τη σελίδα του metrosport.gr και στο google news

Κάντε like στην σελίδα μας στο facebook

ΣΧΕΤΙΚΑ ΑΡΘΡΑ

ΔΕΙΤΕ ΠΕΡΙΣΣΟΤΕΡΑ

Ενημερωθείτε πρώτοι για όλα τα τελεταία νέα, απευθείας στο email σας