Φόροι: Επιστροφές-«μαμούθ» σε εκατοντάδες χιλιάδες μισθωτούς
Επιστροφές φόρων σε εκατοντάδες χιλιάδες εργαζομένους του ιδιωτικού τομέα και κάθετη πτώση έως και 80% στις φορολογικές επιβαρύνσεις περισσοτέρων από 1.900.000 μικρομεσαίων επιχειρηματιών, ελεύθερων επαγγελματιών και ιδιοκτητών εκμισθούμενων ακινήτων φέρνουν οι εισοδηματικές απώλειες που υπέστησαν οι συγκεκριμένοι φορολογούμενοι κατά τη διάρκεια του 2020, εξαιτίας των περιοριστικών μέτρων που ελήφθησαν από την κυβέρνηση για την προστασία της δημόσιας υγείας έναντι της εξάπλωσης της πανδημίας του κορονοϊού.
Στη θετική αυτή εξέλιξη για εκατομμύρια φορολογουμένους θα συμβάλουν και η σημαντική μείωση των συντελεστών φορολογίας εισοδήματος φυσικών προσώπων, που ισχύει για τα εισοδήματα του 2020, καθώς επίσης και η προσωρινή κατάργηση της ειδικής εισφοράς αλληλεγγύης που ισχύει επίσης για τα εισοδήματα του 2020, πλην μισθών και συντάξεων.
Ποιους αφορά
Κατά το τρέχον έτος αναμένεται θεαματική πτώση των εσόδων του Δημοσίου από τη φορολογία εισοδήματος. Τα περίφημα γενικά και τοπικά lockdowns που επιβλήθηκαν εντός του προηγουμένου έτους είχαν ως συνέπεια περισσότεροι από 1.700.000 μισθωτοί εργαζόμενοι στον ιδιωτικό τομέα να τεθούν σε αναστολή συμβάσεων εργασίας για χρονικά διαστήματα από 3 έως και 10 μήνες. Παράλληλα, πάνω από 1.500.000 ατομικές επιχειρήσεις, ελεύθεροι επαγγελματίες και αυτοαπασχολούμενοι ανέστειλαν τη λειτουργία τους για 5 έως και 7 μήνες τουλάχιστον μέσα στο 2020 ή υπολειτουργούν τουλάχιστον για 9 μήνες μέσα στο προηγούμενο έτος, κατά τη διάρκεια των οποίων πραγματοποίησαν σημαντικά μειωμένους τζίρους. Επιπλέον, περισσότεροι από 400.000 ιδιοκτήτες εκμισθούμενων ακινήτων υποχρεώθηκαν για χρονικά διαστήματα από 6 έως και 10 μήνες μέσα στο 2020 να εισπράξουν ενοίκια μειωμένα κατά 40% ή και περισσότερο.
Ποσά ετήσιων φορολογητέων εισοδημάτων σημαντικά μειωμένα
Όλοι αυτοί οι φορολογούμενοι επιβίωσαν οικονομικά χάρη στις διαφόρων κατηγοριών έκτακτες οικονομικές ενισχύσεις που έλαβαν από το Δημόσιο, όπως οι αποζημιώσεις ειδικού σκοπού των 800 και των 534 ευρώ, τα ποσά της «επιστρεπτέας προκαταβολής», που κυμάνθηκαν από 1.000 έως και 350.000 ευρώ, και διάφορα άλλα έκτακτα και ειδικά επιδόματα. Αυτές οι οικονομικές ενισχύσεις οι οποίες καταβλήθηκαν από το κράτος με σκοπό τη μερική ή και την ολική αναπλήρωση των απολεσθέντων εισοδημάτων τόσων πολλών εργαζομένων και επιχειρήσεων είναι αφορολόγητες και, ως εκ τούτου, δεν συνυπολογίζονται στα ετήσια φορολογητέα εισοδήματά τους.
Συνέπεια των παραπάνω εξελίξεων θα είναι 3.600.000 φορολογούμενοι, στις δηλώσεις φορολογίας εισοδήματος που θα υποβάλουν φέτος την άνοιξη και το καλοκαίρι, για το φορολογικό έτος 2020, να εμφανίσουν ποσά ετήσιων φορολογητέων εισοδημάτων σημαντικά μειωμένα σε σύγκριση με αυτά που εμφάνισαν πέρυσι με τις δηλώσεις για τα εισοδήματα του 2019. Οι μειώσεις στα ετήσια φορολογητέα εισοδήματα για πάνω από 3.600.000 φυσικά πρόσωπα θα είναι τουλάχιστον 30% και σε πολλές περιπτώσεις θα φθάνουν ή και θα υπερβαίνουν το 50%.
Εξαιτίας της αναμενόμενης αυτής εξέλιξης:
1. Εκατοντάδες χιλιάδες μισθωτοί φορολογούμενοι-εργαζόμενοι στον ιδιωτικό τομέα θα απαλλαγούν πλήρως από το φόρο εισοδήματος και την ειδική εισφορά αλληλεγγύης για το 2020, λόγω πτώσης των ετήσιων φορολογητέων εισοδημάτων του έτους αυτού κάτω από τα αφορολόγητα όρια των 8.636 έως 12.000 ευρώ που ισχύουν στη φορολογία εισοδήματος για τη συντριπτική πλειονότητα των φυσικών προσώπων και κάτω από το αφορολόγητο όριο των 12.000 ευρώ που ισχύει για την εισφορά αλληλεγγύης.
Για παράδειγμα, φορολογούμενος εργαζόμενος στον ιδιωτικό τομέα με ένα εξαρτώμενο τέκνο και ετήσιο φορολογητέο εισόδημα 15.000 ευρώ το 2019, κατά τη διάρκεια του 2020 εργάστηκε κανονικά μόνο τους 6 από τους 12 μήνες του έτους -λόγω αναστολής της λειτουργίας της επιχείρησης στην οποία εργάζεται- και ως εκ τούτου έλαβε μισθούς μόνο για έξι μήνες, καθώς επίσης και Δώρα Πάσχα και Χριστουγέννων. Τους υπόλοιπους 6 μήνες του 2020 ήταν σε αναστολή σύμβασης εργασίας και έλαβε αποζημιώσεις ειδικού σκοπού 800 και 534 ευρώ, οι οποίες είναι αφορολόγητες και δεν συμπεριλαμβάνονται στο ετήσιο φορολογητέο εισόδημα. Ως εκ τούτου, το ετήσιο φορολογητέο εισόδημά του μειώθηκε περίπου κατά 40% το 2020 και περιορίστηκε στις 9.000 ευρώ. Για το εισόδημα των 15.000 ευρώ του 2019 ο φορολογούμενος αυτός επιβαρύνθηκε με φόρο εισοδήματος 1.350 ευρώ, καθώς επίσης και με ειδική εισφορά αλληλεγγύης 66 ευρώ. Για το 2020, το εισόδημά του διαμορφώθηκε στο ίδιο ύψος με το αφορολόγητο όριο των 9.000 ευρώ που ισχύει πλέον για εργαζόμενο μισθωτό με ένα παιδί και συνεπώς δεν θα πληρώσει φόρο εισοδήματος. Επιπλέον, το εισόδημά του για το 2020 έπεσε κάτω από το αφορολόγητο όριο των 12.000 ευρώ που ισχύει για την ειδική εισφορά αλληλεγγύης, οπότε θα απαλλαγεί και από την επιβάρυνση αυτή.
2. Θα εμφανιστούν εκατοντάδες χιλιάδες περιπτώσεις μισθωτών εργαζομένων του ιδιωτικού τομέα που θα είναι δικαιούχοι μεγάλων ποσών επιστροφών φόρου. Κι αυτό θα συμβεί επειδή κατά τη διάρκεια του 2020 οι μηνιαίες κρατήσεις φόρου εισοδήματος και εισφοράς αλληλεγγύης επί των μισθών των εργαζομένων αυτών υπολογίστηκαν, όσους μήνες αυτοί εργάζονταν κανονικά, ωσάν οι αποδοχές τους να ήταν σε ετήσια βάση ίδιες με τα επίπεδα στα οποία είχαν διαμορφωθεί πριν ξεσπάσει η πανδημία του κορονοϊού. Όμως τα ποσά των φόρων που αναλογούν στα -σημαντικά μειωμένα- ετήσια φορολογητέα εισοδήματα του 2020 είναι, τελικά, πολύ μικρότερα από αυτά που παρακρατήθηκαν συνολικά στη διάρκεια του 2020. Συνεπώς τα επιπλέον ποσά που παρακρατήθηκαν θα πρέπει να επιστραφούν από το Δημόσιο στους εργαζομένους με την εκκαθάριση των φορολογικών δηλώσεων που θα υποβάλουν φέτος.
3. Στη συντριπτική τους πλειονότητα οι φορολογούμενοι με ατομικές επιχειρήσεις (έμποροι, βιοτέχνες, ελεύθεροι επαγγελματίες) θα κληθούν, με τα εκκαθαριστικά των φετινών δηλώσεων φορολογίας εισοδήματος, να πληρώσουν φόρους μειωμένους κατά 60% έως και πάνω από 80%, όχι μόνο λόγω της μεγάλης πτώσης των καθαρών φορολογητέων εισοδημάτων, αλλά και εξαιτίας της μείωσης του κατώτατου συντελεστή φόρου από το 22% στο 9% και της μη επιβολής ειδικής εισφοράς αλληλεγγύης.
4. Στη συντριπτική τους πλειονότητα οι ιδιοκτήτες εκμισθούμενων ακινήτων θα κληθούν, με τα εκκαθαριστικά των φετινών δηλώσεων φορολογίας εισοδήματος, να πληρώσουν φόρους μειωμένους κατά 27% έως και 49% για τα «κουρεμένα» εισοδήματά τους από ενοίκια.
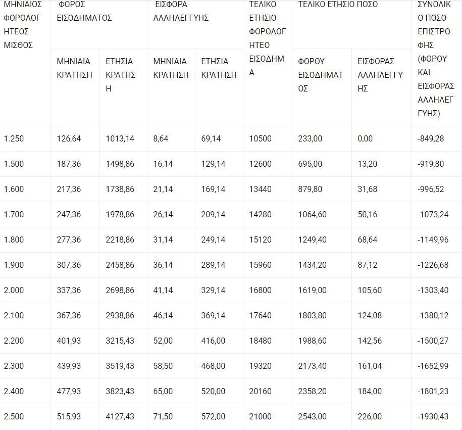
ΟΙ ΕΠΙΣΤΡΟΦΕΣ ΦΟΡΟΥ ΕΙΣΟΔΗΜΑΤΟΣ ΚΑΙ ΕΙΣΦΟΡΑΣ ΑΛΛΗΛΕΓΓΥΗΣ ΓΙΑ ΕΡΓΑΖΟΜΕΝΟΥΣ ΣΤΟΝ ΙΔΙΩΤΙΚΟ ΤΟΜΕΑ ΠΟΥ ΤΕΘΗΚΑΝ ΣΕ ΑΝΑΣΤΟΛΕΣ ΣΥΜΒΑΣΕΩΝ ΓΙΑ 6 ΜΗΝΕΣ ΤΟ 2020, ΛΟΓΩ … COVID
| ΠΟΣΟ ΘΑ ΜΕΤΑΒΛΗΘΟΥΝ ΦΕΤΟΣ ΟΙ ΦΟΡΟΙ ΤΩΝ ΑΤΟΜΙΚΩΝ ΕΠΙΧΕΙΡΗΣΕΩΝ | |||||||||
| ΦΟΡΟΛΟΓΙΚΟ ΕΤΟΣ 2019 | ΦΟΡΟΛΟΓΙΚΟ ΕΤΟΣ 2020 | ΜΕΤΑΒΟΛΗ ΦΟΡΩΝ | |||||||
| ΕΤΗΣΙΟ ΦΟΡΟΛΟΓΗΤΕΟ ΕΙΣΟΔΗΜΑ | ΦΟΡΟΣ ΕΙΣΟΔΗΜΑΤΟΣ | ΕΙΔΙΚΗ ΕΙΣΦΟΡΑ ΑΛΛΗΛΕΓΓΥΗΣ | ΣΥΝΟΛΟ ΦΟΡΩΝ (*) | ΕΤΗΣΙΟ ΦΟΡΟΛΟΓΗΤΕΟ ΕΙΣΟΔΗΜΑ (**) | ΦΟΡΟΣ ΕΙΣΟΔΗΜΑΤΟΣ | ΕΙΔΙΚΗ ΕΙΣΦΟΡΑ ΑΛΛΗΛΕΓΓΥΗΣ | ΣΥΝΟΛΟ ΦΟΡΩΝ (*) | ΣΕ ΠΟΣΟ | ΣΕ ΠΟΣΟΣΤΟ |
| 6000 | 1320 | 0 | 1320 | 3000 | 270 | 0 | 270 | -1050 | -79,55% |
| 7000 | 1540 | 0 | 1540 | 3500 | 315 | 0 | 315 | -1225 | -79,55% |
| 8000 | 1760 | 0 | 1760 | 4000 | 360 | 0 | 360 | -1400 | -79,55% |
| 9000 | 1980 | 0 | 1980 | 4500 | 405 | 0 | 405 | -1575 | -79,55% |
| 10000 | 2200 | 0 | 2200 | 5000 | 450 | 0 | 450 | -1750 | -79,55% |
| 11000 | 2420 | 0 | 2420 | 5500 | 495 | 0 | 495 | -1925 | -79,55% |
| 12000 | 2640 | 0 | 2640 | 6000 | 540 | 0 | 540 | -2100 | -79,55% |
| 13000 | 2860 | 22 | 2882 | 6500 | 585 | 0 | 585 | -2297 | -79,70% |
| 14000 | 3080 | 44 | 3124 | 7000 | 630 | 0 | 630 | -2494 | -79,83% |
| 15000 | 3300 | 66 | 3366 | 7500 | 675 | 0 | 675 | -2691 | -79,95% |
| 16000 | 3520 | 88 | 3608 | 8000 | 720 | 0 | 720 | -2888 | -80,04% |
| 17000 | 3740 | 110 | 3850 | 8500 | 765 | 0 | 765 | -3085 | -80,13% |
| 18000 | 3960 | 132 | 4092 | 9000 | 810 | 0 | 810 | -3282 | -80,21% |
| 19000 | 4180 | 154 | 4334 | 9500 | 855 | 0 | 855 | -3479 | -80,27% |
| 20000 | 4400 | 176 | 4576 | 10000 | 900 | 0 | 900 | -3676 | -80,33% |
| 21000 | 4690 | 226 | 4916 | 10500 | 1010 | 0 | 1010 | -3906 | -79,45% |
| 22000 | 4980 | 276 | 5256 | 11000 | 1120 | 0 | 1120 | -4136 | -78,69% |
| 23000 | 5270 | 326 | 5596 | 11500 | 1230 | 0 | 1230 | -4366 | -78,02% |
| 24000 | 5560 | 376 | 5936 | 12000 | 1340 | 0 | 1340 | -4596 | -77,43% |
| 25000 | 5850 | 426 | 6276 | 12500 | 1450 | 0 | 1450 | -4826 | -76,90% |
| 26000 | 6140 | 476 | 6616 | 13000 | 1560 | 0 | 1560 | -5056 | -76,42% |
| 27000 | 6430 | 526 | 6956 | 13500 | 1670 | 0 | 1670 | -5286 | -75,99% |
| 28000 | 6720 | 576 | 7296 | 14000 | 1780 | 0 | 1780 | -5516 | -75,60% |
| 29000 | 7010 | 626 | 7636 | 14500 | 1890 | 0 | 1890 | -5746 | -75,25% |
| 30000 | 7300 | 676 | 7976 | 15000 | 2000 | 0 | 2000 | -5976 | -74,92% |
| 35000 | 9150 | 1001 | 10151 | 17500 | 2550 | 0 | 2550 | -7601 | -74,88% |
| 40000 | 11000 | 1326 | 12326 | 20000 | 3100 | 0 | 3100 | -9226 | -74,85% |
| 50000 | 24500 | 2076 | 26576 | 25000 | 4500 | 0 | 4500 | -22076 | -83,07% |
(*) Aθροισμα φόρου εισοδήματος και ειδικής εισφοράς αλληλεγγύης.
(**) Το φορολογητέο εισόδημα του 2020 εμφανίζεται μειωμένο κατά 50% λόγω της οικονομικής κρίσης που προκάλεσε η πανδημία.
| ΠΟΣΟ ΘΑ ΜΕΤΑΒΛΗΘOYN ΟI ΦΟΡΟΙ ΤΟ 2021 ΓΙΑ ΙΔΙΟΚΤΗΤΕΣ ΕΚΜΙΣΘΟΥΜΕΝΩΝ ΑΚΙΝΗΤΩΝ ΕΞΑΙΤΙΑΣ ΤΩΝ ΑΝΑΓΚΑΣΤΙΚΩΝ ΜΕΙΩΣΕΩΝ ΤΩΝ ΕΝΟΙΚΙΩΝ ΚΑΤΑ 40% (*) ΚΑΙ ΤΗΣ ΚΑΤΑΡΓΗΣΕΩΣ ΤΗΣ ΕΙΣΦΟΡΑΣ ΑΛΛΗΛΕΓΓΥΗΣ | ||||||||||
| ΜΗΝΙΑΙΟ ΕΝΟΙΚΙΟ | ΕΤΗΣΙΟ ΕΙΣΟΔΗΜΑ ΑΠΟ ΕΝΟΙΚΙΑ ΤΟ 2019 | ΦΟΡΟΣ ΕΙΣΟΔΗΜΑΤΟΣ | ΕΙΔΙΚΗ ΕΙΣΦΟΡΑ ΑΛΛΗΛΕΓΓΥΗΣ | ΣΥΝΟΛΟ ΦΟΡΩΝ | ΕΤΗΣΙΟ ΕΙΣΟΔΗΜΑ ΑΠΟ ΕΝΟΙΚΙΑ ΤΟ 2020 | ΦΟΡΟΣ ΕΙΣΟΔΗΜΑΤΟΣ | ΕΙΔΙΚΗ ΕΙΣΦΟΡΑ ΑΛΛΗΛΕΓΓΥΗΣ | ΣΥΝΟΛΟ ΦΟΡΩΝ | ΜΕΤΑΒΟΛΗ ΣΥΝΟΛΟΥ ΦΟΡΩΝ | ΜΕΤΑΒΟΛΗ ΣΥΝΟΛΟΥ ΦΟΡΩΝ ΣΕ ΠΟΣΟΣΤΟ |
| 200 | 2400 | 360 | 0 | 360,00 | 1760 | 264 | 0 | 264 | -96,00 | -26,67% |
| 300 | 3600 | 540 | 0 | 540,00 | 2640 | 396 | 0 | 396 | -144,00 | -26,67% |
| 400 | 4800 | 720 | 0 | 720,00 | 3520 | 528 | 0 | 528 | -192,00 | -26,67% |
| 500 | 6000 | 900 | 0 | 900,00 | 4400 | 660 | 0 | 660 | -240,00 | -26,67% |
| 600 | 7200 | 1080 | 0 | 1080,00 | 5280 | 792 | 0 | 792 | -288,00 | -26,67% |
| 700 | 8400 | 1260 | 0 | 1260,00 | 6160 | 924 | 0 | 924 | -336,00 | -26,67% |
| 800 | 9600 | 1440 | 0 | 1440,00 | 7040 | 1056 | 0 | 1056 | -384,00 | -26,67% |
| 900 | 10800 | 1620 | 0 | 1620,00 | 7920 | 1188 | 0 | 1188 | -432,00 | -26,67% |
| 1000 | 12000 | 1800 | 0 | 1800,00 | 8800 | 1320 | 0 | 1320 | -480,00 | -26,67% |
| 1100 | 13200 | 2220 | 26,40 | 2246,40 | 9680 | 1452 | 0 | 1452 | -794,40 | -35,78% |
| 1200 | 14400 | 2640 | 52,80 | 2692,80 | 10560 | 1584 | 0 | 1584 | -1108,80 | -42,00% |
| 1300 | 15600 | 3060 | 79,20 | 3139,20 | 11440 | 1716 | 0 | 1716 | -1423,20 | -46,51% |
| 1400 | 16800 | 3480 | 105,60 | 3585,60 | 12320 | 1912 | 0 | 1912 | -1673,60 | -48,09% |
| 1500 | 18000 | 3900 | 132,00 | 4032,00 | 13200 | 2220 | 0 | 2220 | -1812,00 | -46,46% |
| 2000 | 24000 | 6000 | 376,00 | 6376,00 | 17600 | 3760 | 0 | 3760 | -2616,00 | -43,60% |
| 2500 | 30000 | 8100 | 676,00 | 8776,00 | 22000 | 5300 | 0 | 5300 | -3476,00 | -42,91% |
| 3000 | 36000 | 10300 | 1066,00 | 11366,00 | 26400 | 6840 | 0 | 6840 | -4526,00 | -43,94% |
| 3500 | 42000 | 13000 | 1476,00 | 14476,00 | 30800 | 8380 | 0 | 8380 | -6096,00 | -46,89% |
| 4000 | 48000 | 15700 | 1926,00 | 17626,00 | 35200 | 9940 | 0 | 9940 | -7686,00 | -48,96% |
| 4500 | 54000 | 18400 | 2376,00 | 20776,00 | 39600 | 11920 | 0 | 11920 | -8856,00 | -48,13% |
| 5000 | 60000 | 21100 | 2826,00 | 23926,00 | 44000 | 13900 | 0 | 13900 | -10026,00 | -47,52% |
| (*) Με μείωση των 8 μηνιαίων ενοικίων του 2020 κατά 40% | ||||||||||
Πηγή: Εφημερίδα «Ελεύθερος Τύπος», newsbomb.gr